Jasen 212535-11

Jasen Prodaja trupca

Mjesto
736,44 m²
Debljina
0,52 mm
Broj palete
17019
Log broj
212535-11
Lokacija skladišta
Salzburg

min. dužina
205 cm
min. debljina
12 cm
max. dužina
400 cm
max. širina
46 cm
FSCTM 100%
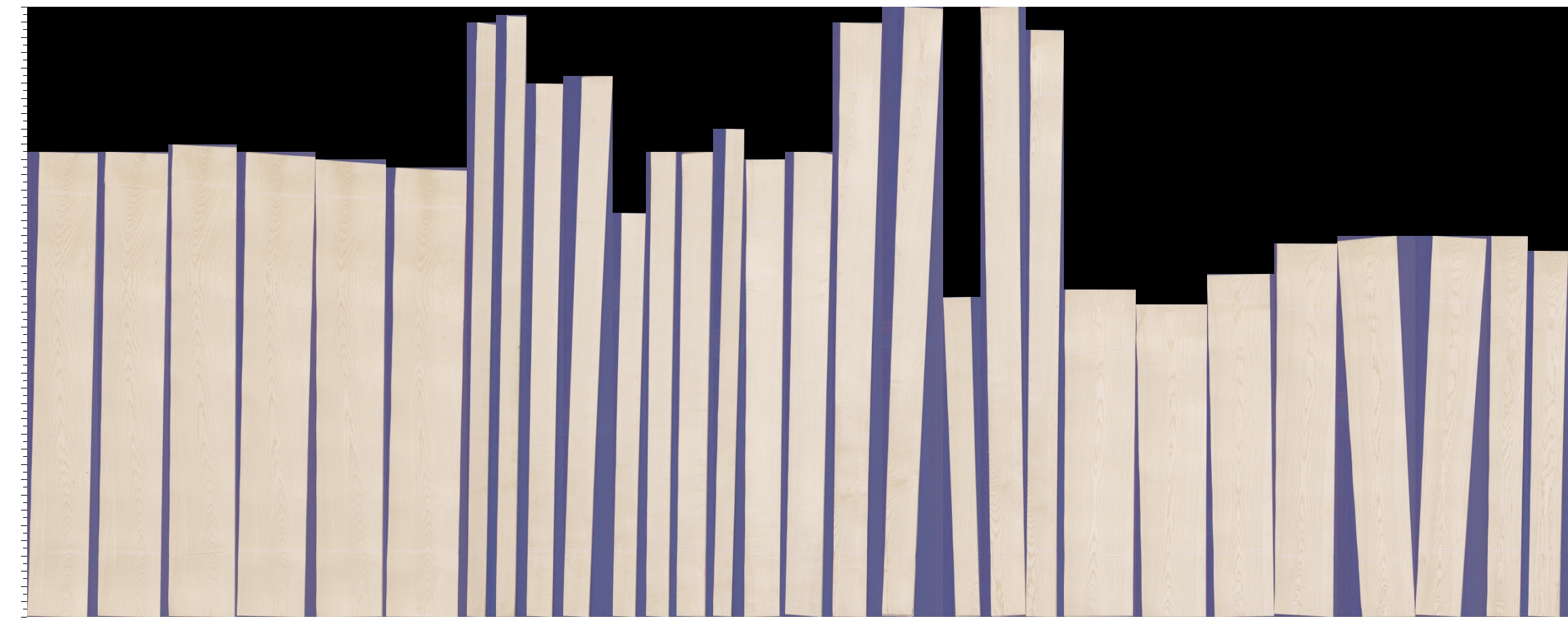
Izvezi fotografiju Lista dimenzija
0 10 20 30 40 50 60 70 80 90 100 110 120 130 140 150 160 170 180 190 200 210 220 230 240 250 260 270 280 290 300 310 320 330 340 350 360 370 380 390 400
Jasen, 37,0880
16
38 cm
Jasen, 40,0160
21
41 cm
Jasen, 41,6640
22
42 cm
Jasen, 42,9440
25
44 cm
Jasen, 42,2400
26
44 cm
Jasen, 43,4240
27
46 cm
Jasen, 4,2120
28
12 cm
Jasen, 15,1680
29
12 cm
Jasen, 19,0400
31
17 cm
Jasen, 20,4480
32
18 cm
Jasen, 12,7200
33
15 cm
Jasen, 14,6400
34
15 cm
Jasen, 18,5440
35
19 cm
Jasen, 11,1360
36
12 cm
Jasen, 22,0800
40
23 cm
Jasen, 23,4240
42
24 cm
Jasen, 29,9520
46
24 cm
Jasen, 28,1600
49
22 cm
Jasen, 11,4240
50
17 cm
Jasen, 28,1600
51
22 cm
Jasen, 23,4080
54
19 cm
Jasen, 30,9600
57
45 cm
Jasen, 28,8640
60
44 cm
Jasen, 28,8000
62
40 cm
Jasen, 29,7920
63
38 cm
Jasen, 29,6000
65
37 cm
Jasen, 24,8000
66
31 cm
Jasen, 17,6000
67
22 cm
Jasen, 16,1280
68
21 cm
Attempting to reconnect to the server.
Reconnection failed. Try reloading the page if you're unable to reconnect.
Could not reconnect to the server. Reload the page to restore functionality.